Files
blog/archive/algorithm/struct/tree/b树.md
2024-03-19 02:45:09 +08:00

1.9 KiB
Raw Blame History

B树

感觉B树是有点从下往上伸展的感觉,而不是像val树伸展树那些插入一个数据后旋转达到平衡,所以所有的树叶都在相同的深度上

  • 树中每个结点最多含有m个孩子
  • 除根结点和叶子结点外,其它每个结点至少有[ceil(m / 2)]个孩子 (就是其他节点至少有 ceil(m/2) 个子节点咯)
  • 若根结点不是叶子结点则至少有2个孩子
  • 所有叶子结点都出现在同一层 (也就是高度相同吧)

《数据结构与算法分析》上描述的b树(p97)所有数据都在树叶上,但是又没指向下一根的树叶,所以又不是b+树...应该是是另外一种形式吧....所以我还是按照往上那些比较详细的教程来理解吧

插入 1 2 3 4 5 6 7 8 9 10到一个3阶的b树下

插入1

digraph{
    node[shape=record width=0.2 height=0.2]
    1[label="|1|"]
}
digraph{
    rankdir=LR
    node[shape=record width=0.2 height=0.2]
    1[label="{|1|}"]
    2[label="{|2|}"]
    1->2
}
digraph{
    rankdir=LR
    node[shape=record width=0.2 height=0.2]
    1[label="{|1|}"]
    2[label="{|2|}"]
    3[label="{|3|}"]
    1->2->3
}

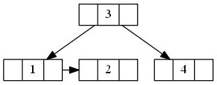
当插入第四个的时候就需要进行处理了,因为我们设置的是三阶的B树

digraph{
    rankdir=LR
    node[shape=record width=.2 height=.1]
    1[label="{|1|}"]
    2[label="{|2|}"]
    3[label="{|3|}"]
    4[label="{|4|}" style="dashed"]
    1->2->3->4
}

需要将中间的一个移动到上方,拆分成两个子节点(vscode绘图插件貌似语法不是很支持,直接换图了....而且确实是有些毛病)

然后插入5,6,7,8,9什么的直接略过吧,来看看当上一行也满了怎么办

这差不多是一个饱和的状态了,再插入一个10就会,往上增加一个,但是上一行也满了,操作也一样